Красота в квадрате. Как цифры отражают жизнь и жизнь отражает цифры - Алекс Беллос
Книгу Красота в квадрате. Как цифры отражают жизнь и жизнь отражает цифры - Алекс Беллос читаем онлайн бесплатно и без регистрации! Читать онлайн вы можете не только на компьютере, но и на андроид (Android), iPhone и iPad. Наслаждайтесь!
414 0 23:27, 24-05-2019Книга Красота в квадрате. Как цифры отражают жизнь и жизнь отражает цифры - Алекс Беллос читать онлайн бесплатно без регистрации
Теду нравилось выискивать примеры действия закона Бенфорда в чистой математике.
Последовательность, каждый член которой в два раза больше предыдущего:
1, 2, 4, 8, 16, 32, 64, 128, 256, 512, 1024…
Последовательность, каждый член которой в три раза больше предыдущего:
1, 3, 9, 27, 81, 243, 729, 2187, 6561, 19 683…
Последовательность, каждый член которой поочередно умножается на два и на три:
1, 2, 6, 12, 36, 72, 216, 432, 1296, 2592, 7776, 15 552…
Все эти последовательности подчиняются закону Бенфорда.
То же самое можно сказать и о последовательности чисел Фибоначчи, в которой каждое следующее число представляет собой сумму двух предыдущих:
1, 1, 2, 3, 5, 8, 13, 21, 34, 55, 89, 144…
Чем больше членов последовательности вы анализируете, тем ближе распределение первых цифр чисел, входящих в нее, к распределению Бенфорда.
Тед также доказал, что любая последовательность, которая начинается со случайного числа и формируется по принципу «удвоить и прибавить 1», соответствует закону Бенфорда. То же самое касается и любой последовательности, начинающейся с произвольного числа и формирующейся по принципу «возвести в квадрат». Но, когда Тед приступил к анализу последовательности чисел, построенной по принципу «возвести в квадрат и прибавить 1», он обнаружил нечто неожиданное.
«С какого бы числа ни начиналась такая последовательность, она почти всегда подчиняется закону Бенфорда. Однако при некоторых исходных числах этого не происходит, причем найти эти числа довольно трудно. Сперва мне казалось, что их нет. Я думал: “Этого не может быть! Это просто невозможно!” Но мы все же нашли одно число, обладающее поразительным свойством: когда оно является первым членом последовательности, в которой каждый следующий член на единицу больше квадрата предыдущего, то каждое число такой последовательности начинается с цифры 9. Это просто невероятно. Это сбой в системе».
Вот это число: 9,94962308959395941218332124109326…
На самом деле для последовательности чисел, сформированной по принципу «возвести в квадрат и прибавить 1», существует бесконечное множество таких исходных чисел, но они размещены на цифровой оси настолько редко, что вероятность выбрать какое-то из них случайным образом равна нулю. По словам Теда, у закона Бенфорда масса секретов, которые еще предстоит открыть.
Закон Бенфорда — один из самых ярких примеров того, как процесс, в котором фигурирует большое количество неизвестных случайных факторов, может образовать очень простую числовую закономерность. Точная последовательность событий, приводящих к росту или падению курса акций или увеличению численности населения города, может оказаться слишком сложной для понимания, но результат этих событий хорошо упорядочен и довольно прост. Не исключено, что у нас не получится составить прогноз в отношении курса конкретных акций или численности населения определенного города, но мы можем быть уверены в одном: в целом эти показатели всегда подчиняются закону Бенфорда.
В книгах тоже часто встречаются простые числовые закономерности. Возьмем в качестве примера книгу Джеймса Джойса Ulysses («Улисс»)[40]. В 40-х годах ХХ столетия исследователи Висконсинского университета на протяжении четырнадцати месяцев составляли список слов, которые использовались в этой книге[41]. Они напечатали ее на гуммированной бумаге, вырезали отдельные слова и наклеили их на тысячах отдельных листков. Затем упорядочили эти слова по убыванию частоты их встречаемости в тексте. Полученные данные представляли интерес не только для студентов, изучающих лингвистику, но и для психологов, работающих с лексическими ассоциациями, а также для таких нестандартно мыслящих ученых, как профессор Гарвардского университета Джордж Кингсли Ципф, который выявил потрясающую закономерность[42].
Слово/Ранг (порядковый номер)/Частота
I («я»)/10/2653
Say («сказать»)/100/265
Bag («сумка»)/1000/26
Orangefiery («оранжево-пламенный»)/10 000/2
Оказалось, что десятое по частоте употребления слово встречается в тексте почти в десять раз чаще, чем сотое, почти в сто раз чаще, чем тысячное, и почти в тысячу раз чаще, чем десятитысячное. Джеймс Джойс не выбирал слова с такой арифметической точностью специально; тем не менее закономерность, которой подчиняется их встречаемость в его книге, очевидна.
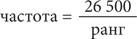
Если говорить языком математики, частота встречаемости слов в романе «Улисс» приближенно подчиняется следующему закону:
частота × ранг = 26 500
Эту формулу можно привести к такому виду:

В общем виде данное уравнение выглядит так:

Следовательно, частотность употребления того или иного слова обратно пропорциональна его рангу (порядковому номеру) в списке, упорядоченном по убыванию частоты. Другими словами, если ранг слова в n раз больше, то частота его использования в n раз меньше.
Изучив другие тексты, Ципф пришел к выводу, что во всех книгах на всех языках частота встречаемости слов и их порядковый номер в частотном списке находятся в обратной зависимости, но с небольшим уточнением:

Это уравнение известно как закон Ципфа. (Когда два числа записаны в форме xy, мы говорим «x в степени y», и это значит, что число x умножается само на себя y раз. Как мы знаем со школьных лет, 42 = 4 × 4, а 23 = 2 × 2 × 2. Однако число y может быть не только целым числом. Следовательно, 21,5 означает, что число 2 умножается само на себя 1,5 раза, а это равно 2,83. Чем ближе значение числа y к 1, тем ближе xy к числу x.)
Прочитали книгу? Предлагаем вам поделится своим впечатлением! Ваш отзыв будет полезен читателям, которые еще только собираются познакомиться с произведением.
Уважаемые читатели, слушатели и просто посетители нашей библиотеки! Просим Вас придерживаться определенных правил при комментировании литературных произведений.
Просьба отказаться от дискриминационных высказываний. Мы защищаем право наших читателей свободно выражать свою точку зрения. Вместе с тем мы не терпим агрессии. На сайте запрещено оставлять комментарий, который содержит унизительные высказывания или призывы к насилию по отношению к отдельным лицам или группам людей на основании их расы, этнического происхождения, вероисповедания, недееспособности, пола, возраста, статуса ветерана, касты или сексуальной ориентации. Просьба отказаться от оскорблений, угроз и запугиваний. Просьба отказаться от нецензурной лексики. Просьба вести себя максимально корректно как по отношению к авторам, так и по отношению к другим читателям и их комментариям.
Надеемся на Ваше понимание и благоразумие. С уважением, администратор My-Books.me.
Оставить комментарий
-
Александра15 январь 09:37
Очень интересная книга! Особенно, если любишь психологию и хочешь понимать себя и других. Обязательно послушаю до конца. Спасибо....
Кригер Борис – Гнев
-
Галина25 май 13:02
Очень уважаю Артема Шейнина, книга замечательная, очень мне близкая по духу.Перечитываю уже второй раз, столько пережитого и не...
Мне повезло вернуться - Артем Шейнин
-
Екатерина11 январь 08:05
Доброе утро. Подскажите пожалуйста как сохранять книги, ставить закладки?...
Подонок - Анастасия Леманн