» » » Лорд Кельвин. Классическая термодинамика - Антонио М. Лальена Рохо

Лорд Кельвин. Классическая термодинамика - Антонио М. Лальена Рохо

Книгу Лорд Кельвин. Классическая термодинамика - Антонио М. Лальена Рохо читаем онлайн бесплатно и без регистрации! Читать онлайн вы можете не только на компьютере, но и на андроид (Android), iPhone и iPad. Наслаждайтесь!

157 0 09:46, 26-05-2019
Лорд Кельвин. Классическая термодинамика - Антонио М. Лальена Рохо
26 май 2019
Автор: Антонио М. Лальена Рохо Жанр: Книги / Домашняя Год публикации: 2015 Возрастные ограничения: (18+) Внимание! Аудиокнига может содержать контент только для совершеннолетних.
0 0

Книга Лорд Кельвин. Классическая термодинамика - Антонио М. Лальена Рохо читать онлайн бесплатно без регистрации

Под именем лорда Кельвина вошел в историю британский ученый XIX века Уильям Томсон, один из создателей экспериментальной физики. Больше всего он запомнился своими работами по классической термодинамике, особенно касающимися введения в науку абсолютной температурной шкалы. Лорд Кельвин сделал вклад в развитие таких областей, как астрофизика, механика жидкостей и инженерное дело, он участвовал в прокладывании первого подводного телеграфного кабеля, связавшего Европу и Америку, а также в научных и философских дебатах об определении возраста Земли.
1 ... 8 9 10 11 12 13 14 15 16 ... 35
Перейти на страницу:


«Простой выбор — это отказаться от него [религиозного перехода], если только я не буду готов стать пресвитером сознательно, чего явно не случится. [...] Очень сомневаюсь в том, что мог бы подписаться под этим переходом, имеющим слабый смысл».


Наука обязывает нас абсолютно доверять Высшей Власти, верить во влияние, свободное от физических, динамических или электрических сил... Наука обязывает нас верить в Бога.

Уильям Томсон


Томсон очень отличался от Стокеа в этом аспекте - как и во многих других. Он не придавал большого значения религии, хотя все связанное с отправлением религиозных служб казалась ему невыносимым. При этом ученый был полностью убежден в том, что процессы, управляющие будущим Вселенной, доказывают божественную силу.


К ТЕОРИИ ЭЛЕКТРОМАГНЕТИЗМА

Математическая формулировка физических процессов, участвующих в электромагнитных явлениях, чрезвычайно интересовала Томсона. В письме Фарадею он утверждал:


«Если мои идеи верны, то математическое определение кривых линий индукции и условий для их выявления во всех возможных сочетаниях тел, подверженных электрическому заряду, не представит никаких сложностей».


Томсон таким образом продолжал одну из своих примечательных работ. В 1847 году в «Математическом журнале Кембриджа и Дублина» он опубликовал статью под названием «Механическое представление электрической, магнитной и гальванической силы», которая значительно меняла представление об электромагнитных силах, устанавливая связь между опытами Фарадея и теорией Максвелла. Ключевой в работе Томсона была математическая аналогия между распределением электричества в проводниках и силами притяжения и отталкивания, действующими на заряженные тела, а также теорией упругих твердых тел, в которую внес значительный вклад Стокс. Аналогия была установлена на экспериментальных данных, полученных Фарадеем при изучении воздействия электромагнитных сил на поляризованный свет, пересекающий прозрачные твердые тела. Томсон написал Фарадею:


«[В статье] проводится аналогия между электрической и магнитной силами в терминах напряжений, которые распространяются в твердой и упругой среде, [... ] что подтверждает теорию, которая [...] в итоге неизбежно ведет к тому, что существует тесная связь между силами, и показывает, что чисто статические явления магнетизма могут происходить либо от электричества в движении, либо от инертной массы, как у железняка».


Математический формализм позволял пойти намного дальше идей Фарадея, породив такие отношения, как отношение магнитной силы к ротору электрической силы, то есть уравнения Максвелла. Итак, Томсон вплотную подошел к принятой сегодня электромагнитной теории; как написал он сам, был необходим «специальный анализ тех состояний твердого тела, которые представляют собой различные проблематичные аспекты электричества, магнетизма и гальванизма; анализ, следовательно, должен быть оставлен для будущей работы». Эта будущая работа появилась намного позже, в 1890 году.

Электромагнитная теория шотландца Джеймса Клерка Максвелла (1831-1879) увидела свет в 1865 году, хотя Томсон так и не был убежден в ее справедливости. Максвелл приходился кузеном Джемиме, супруге Хью Блэкберна - товарища Томсона, и они часто встречались в доме этой супружеской пары, однако между учеными никогда не было тесных отношений. Возможно, наибольшее сближение произошло в 1854 году, когда Максвелл, едва окончив Кембридж, написал Томсону с просьбой о совете:


«Как человек, имеющий базовые знания об опытах по электричеству и некоторую антипатию к «электричеству» Мерфи [учебнику], может действовать, читая и работая, чтобы приобрести небольшое представление о теме, которая будет ему полезна для последующего чтения? Если бы он хотел почитать Ампера, Фарадея и так далее, как бы ему следовало организовать эти работы и когда и в каком порядке читать их статьи в «Кембриджском журнале»?»


Однако отсутствие дружбы не мешало Максвеллу и Томсону уважать друг друга. Первый признался второму: «вам очень помогла аналогия с теплопроводностью, которую я считаю Вашим изобретением, по крайней мере я не нашел ее ни в каком другом месте. [ ... ] Это очень долгий вопрос, касающийся электричества, но [ ...] я надеюсь, что Вам будет несложно проследить за моей идеей». И когда в 1855 году Максвелл начал публиковать свои работы, он уделял большое внимание тому, чтобы избежать даже случайных научных столкновений с Томсоном:


«Мне бы очень помогло, если бы Вы могли сказать мне, есть ли у Вас черновик всего этого среди каких-то бумаг, потерянных или забытых только потому, что Вы работали над теплом, но у Вас было мало свободного времени. [...] Поскольку у меня нет сомнений в том, что математическая часть Вашей теории находится у Вас в письменном столе, то все, что Вам нужно сделать, — это объяснить свои результаты об электричестве. Думаю, если Вы сделаете это публично, это введет новый набор электрических понятий в оборот и сэкономит много бесполезных умозаключений».


УРАВНЕНИЯ МАКСВЕЛЛА

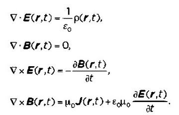
Джеймса Клерка Максвелла многие считают физиком XIX столетия, который больше всего повлиял на физику XX века. В 1871 году он получил должность преподавателя физики в Кембридже и взялся за строительство знаменитой Кавендишской лаборатории — исключительного научного учреждения: со времени создания в 1874 году ее исследователи получили 29 нобелевских премий. В 1862 году Максвелл сформулировал свои знаменитые уравнения:

Лорд Кельвин. Классическая термодинамика

Здесь символы, выделенные жирным, соответствуют векторным величинам, а символы курсивом - скалярным величинам. Дифференциальные операторы (перевернутая Δ∙) и (перевернутая Δx) обозначают «дивергенцию» и «ротор», и это два различных способа дифференцирования относительно пространственных координат. Также появляется производная от времени, ∂/∂t. Первое уравнение — это закон Гаусса, он описывает отношение между векторным электрическим полем Е и общим зарядом, который его производит, представленным плотностью общего заряда р. Второе уравнение — это закон Гаусса для магнетизма, в котором указано, что не существует магнитных зарядов, или монополей. Третье уравнение — это закон индукции Фарадея, в котором установлено, что переменное магнитное поле индуцирует электрическое поле. Последнее уравнение — это закон Ампера, в котором установлено, что магнитное поле может быть образовано двумя способами: с помощью электрического тока (представленного общей плотностью тока J) или переменного электрического поля. Последнее уравнение — единственное, которое Максвелл изменил: он добавил новый член, устанавливающий аналогию между электрическими и магнитными полями. Величины ε0 и μ0 — это универсальные константы: диэлектрическая проницаемость и магнитная проницаемость свободного пространства (или вакуума) соответственно. Эти две величины связаны соскоростью электромагнитного излучения в свободном пространстве (с = (ε0 μ0)-1/2), которая совпадает со скоростью света в вакууме. В 1931 году в связи со столетием со дня рождения Максвелла Альберт Эйнштейн отметил его работу как «самую глубокую и полезную, которую проделала физика со времен Ньютона».

1 ... 8 9 10 11 12 13 14 15 16 ... 35
Перейти на страницу:
  1. Жалоба
Отзывы - 0

Прочитали книгу? Предлагаем вам поделится своим впечатлением! Ваш отзыв будет полезен читателям, которые еще только собираются познакомиться с произведением.


Уважаемые читатели, слушатели и просто посетители нашей библиотеки! Просим Вас придерживаться определенных правил при комментировании литературных произведений.

Просьба отказаться от дискриминационных высказываний. Мы защищаем право наших читателей свободно выражать свою точку зрения. Вместе с тем мы не терпим агрессии. На сайте запрещено оставлять комментарий, который содержит унизительные высказывания или призывы к насилию по отношению к отдельным лицам или группам людей на основании их расы, этнического происхождения, вероисповедания, недееспособности, пола, возраста, статуса ветерана, касты или сексуальной ориентации. Просьба отказаться от оскорблений, угроз и запугиваний. Просьба отказаться от нецензурной лексики. Просьба вести себя максимально корректно как по отношению к авторам, так и по отношению к другим читателям и их комментариям.

Надеемся на Ваше понимание и благоразумие. С уважением, администратор My-Books.me.


Новые отзывы

  1. Александра Александра15 январь 09:37 Очень интересная книга! Особенно, если любишь психологию и хочешь понимать себя и других. Обязательно послушаю до конца. Спасибо.... Кригер Борис – Гнев
  2. Галина Галина25 май 13:02 Очень уважаю Артема Шейнина, книга замечательная, очень мне близкая по духу.Перечитываю уже второй раз, столько пережитого и не... Мне повезло вернуться - Артем Шейнин
  3. Екатерина Екатерина11 январь 08:05 Доброе утро. Подскажите пожалуйста как сохранять книги, ставить закладки?... Подонок - Анастасия Леманн
Все комметарии
Новинки бесплатной онлайн библиотеки