Популярная физика. От архимедова рычага до квантовой теории - Айзек Азимов
Книгу Популярная физика. От архимедова рычага до квантовой теории - Айзек Азимов читаем онлайн бесплатно и без регистрации! Читать онлайн вы можете не только на компьютере, но и на андроид (Android), iPhone и iPad. Наслаждайтесь!
252 0 13:56, 25-05-2019Книга Популярная физика. От архимедова рычага до квантовой теории - Айзек Азимов читать онлайн бесплатно без регистрации
t1 = d/(c + v) + d/(c – v) = 2dc/(c2 - v2). (Уравнение 6.1)
Однако в то же время вторая половина луча движется под прямым углом к первой; возвращается она также под прямым углом к первой. Она не движется ни по эфирному ветру, ни против него. И туда и обратно этот второй луч движется «поперек ветра».
Время, которое потребуется лучу света на то, чтобы преодолеть путь туда и обратно (t2), может быть высчитано с помощью плоскостной геометрии[92] и оказывается равным:

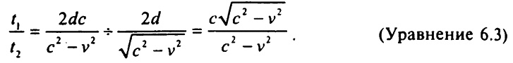
Поделив уравнение 6.1 на уравнение 6.2, мы найдем отношение времени, которое требуется на преодоление расстояния по эфирному ветру и против него, ко времени, которое требуется на преодоление того же расстояния поперек эфирного ветра. Мы получим:

Выражение в самой правой части уравнения 6.3 принадлежит известной формуле (а√х)/х, и если и числитель и знаменатель разделить на √х, то получим эквивалентное выражение a/√х. Соответственно уравнение 6.3 можно упростить до:

Дальнейшее упрощение возможно в случае умножения и числителя и знаменателя на √(1/с2) (умножение числителя и знаменателя на одно и то же число, естественно, не меняет значения всего выражения). Тогда числитель уравнения 6.4 становится равным c√(l/c2) = c/c = 1. Знаменатель же становится равным √(c2/c2 – v2/c2. Соответственно уравнение 6.4 может быть записано в виде:

Если источник света неподвижен по отношению к эфиру, то v = 0 и t1/t2 = 1. В таком случае время, затраченное лучом света, движущимся по эфирному ветру и против него, будет таким же, как и время, затраченное лучом света, движущимся поперек эфирного ветра. (На самом деле это время одно и то же для лучей света, движущихся во всех направлениях,) Если движущееся зеркало настроено таким образом, чтобы два луча света проходили в точности одно и то же расстояние, вернутся они точно одновременно, и линий интерференции не возникнет. Более того, не будет возникать линий интерференции и при повороте прибора таким образом, чтобы лучи света двигались в других направлениях.
Однако, если по отношению к эфиру свет движется, то v больше чем 0, следовательно, 1 – v2/c2 меньше единицы и t1/t2 больше единицы. Свет, движущийся по эфирному ветру и против него, будет дольше преодолевать определенное расстояние, чем свет, движущийся поперек него. На самом деле это отношение не намного больше единицы для любой разумной скорости по отношению к эфиру. Даже если источник света движется со скоростью 0,1 скорости света (так, что v равно огромной цифре в 30 000 км/с), это отношение будет составлять всего 1,005. Для обычных же скоростей это отношение будет совсем мало.
Тем не менее разница во времени была бы достаточной, чтобы разделить два луча света и привести к появлению линий интерференции. Естественно, невозможно было заранее знать направление эфирного ветра, но это не имело значения. Прибор можно было повернуть в любом направлении, и передвижное зеркало могло быть настроено таким образом, чтобы устранять линии интерференции. Если прибор повернуть теперь, то лучи света поменяли бы направление и теперь испытывали бы другое воздействие со стороны эфирного ветра, так что линии интерференции появились бы вновь.
По расстоянию между линиями можно было определить скорость источника света по отношению к эфиру. Поскольку источник света был жестко закреплен на Земле, это означало определить скорость Земли по отношению к эфиру, то есть установить абсолютное движение Земли. Если бы это было сделано, то можно было бы установить абсолютное движение всех тел, зная их движение по отношению к Земле.
С помощью американского химика Эдварда Уильямса Морли (1838–1923) Михельсон в 1886 году провел свой эксперимент. Он проводил его и до того, один, но ни разу не делал этого в условиях, которые бы его удовлетворяли. Теперь же он и Морли доскональнейшим образом закрепили интерферометр и применили фантастические предосторожности против возможных ошибок.
Снова и снова они повторяли свой эксперимент, и результаты оказывались одними и теми же — негативными! Когда они настраивали прибор, чтобы удалить линии интерференции, они не расширялись сколько-нибудь заметным образом при любых поворотах интерферометра. Можно было подумать, что им не повезло и для проведения эксперимента они выбрали момент, когда Земля не двигалась относительно эфира. Однако Земля движется по эллиптической орбите вокруг Солнца и ежемоментно меняет направление своего движения. Если в один день она оказалась неподвижной относительно эфира, то в следующий день она должна была двигаться.
Михельсон и Морли провели тысячи наблюдений в течение многих месяцев и наконец в июле 1887 года объявили свое заключение. Никакого эфирного ветра не было!
Я углубился в детали этого эксперимента из-за его шокирующего результата. Заявить об отсутствии эфира означало заявить о том, что, скорее всего, не существует способа установить абсолютное движение. А если это так, что станет с законами Ньютона и со всей картиной Вселенной, основанной на этих законах?
Физикам принесло бы облегчение извещение о том, что в эксперименте Михельсона — Морли были погрешности и эфирный ветер, несмотря ни на что, существует. Однако этот эксперимент повторялся снова и снова с 1887 года. В 1960 году для этой цели были использованы гораздо более точные приборы, чем интерферометр, но результат оставался прежним. Эфирного ветра не существует. Этот факт оставалось просто принять и изменить соответствующим образом картину Вселенной.
Естественно, предпринимались попытки объяснить результаты эксперимента Михельсона — Морли в рамках теории эфира. Наиболее успешная попытка принадлежала ирландскому физику Джорджу Франсису Фитцджеральду (1851–1901), который в 1893 году предположил, что все предметы укорачиваются в направлении своего абсолютного движения, так сказать сплющиваясь под воздействием эфирного ветра. Размер такого «укорачивания» будет возрастать вместе со скоростью абсолютного движения, поскольку давление эфирного ветра тоже будет возрастать.
Прочитали книгу? Предлагаем вам поделится своим впечатлением! Ваш отзыв будет полезен читателям, которые еще только собираются познакомиться с произведением.
Уважаемые читатели, слушатели и просто посетители нашей библиотеки! Просим Вас придерживаться определенных правил при комментировании литературных произведений.
Просьба отказаться от дискриминационных высказываний. Мы защищаем право наших читателей свободно выражать свою точку зрения. Вместе с тем мы не терпим агрессии. На сайте запрещено оставлять комментарий, который содержит унизительные высказывания или призывы к насилию по отношению к отдельным лицам или группам людей на основании их расы, этнического происхождения, вероисповедания, недееспособности, пола, возраста, статуса ветерана, касты или сексуальной ориентации. Просьба отказаться от оскорблений, угроз и запугиваний. Просьба отказаться от нецензурной лексики. Просьба вести себя максимально корректно как по отношению к авторам, так и по отношению к другим читателям и их комментариям.
Надеемся на Ваше понимание и благоразумие. С уважением, администратор My-Books.me.
Оставить комментарий
-
Александра15 январь 09:37
Очень интересная книга! Особенно, если любишь психологию и хочешь понимать себя и других. Обязательно послушаю до конца. Спасибо....
Кригер Борис – Гнев
-
Галина25 май 13:02
Очень уважаю Артема Шейнина, книга замечательная, очень мне близкая по духу.Перечитываю уже второй раз, столько пережитого и не...
Мне повезло вернуться - Артем Шейнин
-
Екатерина11 январь 08:05
Доброе утро. Подскажите пожалуйста как сохранять книги, ставить закладки?...
Подонок - Анастасия Леманн