Лагуна. Как Аристотель придумал науку - Арман Мари Леруа
Книгу Лагуна. Как Аристотель придумал науку - Арман Мари Леруа читаем онлайн бесплатно и без регистрации! Читать онлайн вы можете не только на компьютере, но и на андроид (Android), iPhone и iPad. Наслаждайтесь!
350 0 09:01, 18-10-2019Книга Лагуна. Как Аристотель придумал науку - Арман Мари Леруа читать онлайн бесплатно без регистрации
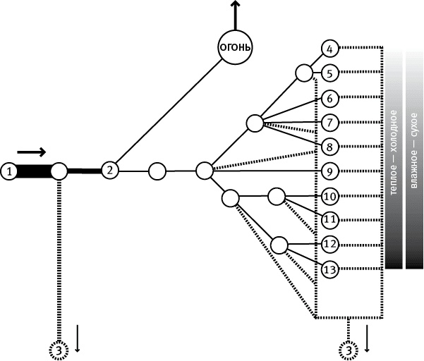
Здесь обобщены представления Аристотеля об обмене веществ, о том, как в организм поступают питательные вещества, как они транспортируются, претерпевают превращения и достигают той или иной части организма. Стрелки указывают потоки материи. “Однородные части” Аристотеля примерно ссответствуют тканям, хотя он склонялся к тому, что они не содержат микроскопические части, такие как клетки или атомы. Все “однородные части” происходят из крови, которая сама является “однородной частью”. Их можно отнести к двум крупным категориям: мягкие и влажные, плотные и твердые, хотя мышцы (мясо) стоят особняком. В результате любой реакции остаются побочные продукты. Все “однородные части” распадаются на отходы и выводятся наружу, поскольку животное – незамкнутая система.
Некоторая часть питания уходит на поддержание внутреннего огня. Узлы (кружки) обозначают конкретные превращения питательных веществ. Информация взята из указанных источников (подробнее см.: Leroi 2010).
Кровь как конечное (универсальное) питание: О частях животных 650a34, 651a15. Мясо делается из наилучшего питания, а кости, жилы и т. д. – из остатков: О возникновении животных 744b20. Мясо – это результат варения крови, а жир – это лишняя кровь: О частях животных 651a20. Жир – это результат варения крови: О частях животных 651a21. Жир может быть мягким или твердым (жир или сало): О частях животных 651a20. Семя образуется из крови, а именно из ее части, лежащей в основе жира: О частях животных 651b10; О возникновении животных 726a5. Костный мозг – это частично сваренная кровь: О частях животных 651b20. Копыта, рога и зубы сопоставлены с костями: О частях животных 655b1, 663a27. Кости и костный мозг образуются из одного материала: О частях животных 652a10. Хрящи и кости – одно и то же: О частях животных 655a27. Выводимое наружу мочевым пузырем и кишечником – это остатки переработанной организмом пищи: О частях животных 653b10. Желчь – это остаток переваренной пищи: О частях животных 677a10.

1 Пища
2 Кровь
3 Моча, желчь, фекалии
4 Копыта, волосы, ногти (когти)
5 Зубы
6 Костный мозг
7 Хрящ
8 Кости
9 Мышцы
10 Сало
11 Жир
12 Семя
13 Маточные выделения, менструальная кровь, молоко
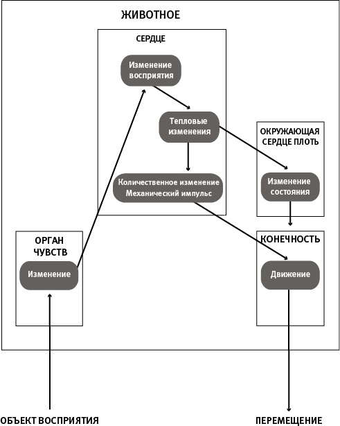
III. Модель CIOM (чувствующей души по Аристотелю)
Здесь представлена модель “Централизованные входящие и исходящие движения” (Centralized Incoming Outgoing Motions). По Аристотелю, в организме сенсорная информация передается от органов чувств в центральное чувствилище (сердце), она обрабатывается с учетом целей животного и преобразуется в движения конечностей за счет действий пневмы и механических движений жил (Gregoric and Corcilius 2013). Стрелки указывают на причинно-следственные связи.

IV. Схема терморегуляторного цикла легких и сердца (растительной души по Аристотелю)
Здесь представлена описанная Аристотелем в трактате “О юности и старости, о жизни и смерти”, 26 (см.: King 2001, 126–129) простейшая из множества возможных моделей, описывающих терморегуляторный цикл сердца и легких. Стрелками показано, что какая часть контролирует. Чтобы модель работала, придется сделать ряд допущений, которых Аристотель не делал явно. В частности, мы предполагаем, что у животного есть идеальная “базовая” температура Tб. Цель системы – поддерживать температуру сердца Tс на этом уровне. Система работает следующим образом. Пища попадает в сердце и “варится” там. Температура питания (ставшего теперь кровью) Tп поднимается выше базовой температуры. Если этот подъем достаточен, чтобы покрыть потери тепла в результате диффузии, он увеличит температуру сердца Tс. Поскольку объем легких представляет собой функцию от разности Tс и Tб, он увеличивается. Это приводит к повышению интенсивности тока воздуха через рот Пв.
Поскольку температура воздуха Tв ниже, чем базовая температура, температура сердца снижается, как и объем легких. Получается система отрицательной обратной связи. Примите во внимание, что мы учитываем постоянную потерю некоторого количества тепла сердца в результате диффузии, вероятно, через мозг, который, по мнению Аристотеля, работает как теплоотвод. Это амортизирует систему, делая ее менее восприимчивой к повышению Tп, и способствует равновесию при Tб. Такая система способна работать, только если температура воздуха ниже, чем идеальная базовая температура. Однако если Tв > Tб, никакое количество воздуха не снизит Tс. Петля отрицательной обратной связи станет неустойчивой петлей положительной обратной связи, и легкие животного будут либо постоянно открыты, либо постоянно закрыты. В любом случае это приведет к угасанию огня (из-за избытка холода или того, что вся пища переварена), что вызовет гибель животного. Исходя из описанного, система будет стремиться к постоянному динамическому равновесию подобно термостату. Однако если появятся дополнительные задержки или нелинейные факторы, в системе возникнут колебания, которыми, по предположению Аристотеля, объясняются движения (расширение и спадание) легких.
Модель построена при помощи Дэвида Анжели из Группы изучения систем управления электрическими системами (Имперский колледж, Лондон).

Тб Базовая температура
Тс Температура сердца
Тп Температура питательного вещества
Тв Температура воздуха
Пп Поток питательных веществ
Пв Поток воздуха
Ол Объем легких
Кд Константа диффузии тепла
Кв Константа притока воздуха
○ Чувствительный элемент
⊗ Устройство умножения
+ Положительная обратная связь
– Отрицательная обратная связь
V. Аристотель о жизненных циклах “живородящих четвероногих” и птиц
Ниже обобщены данные Аристотеля о жизненном цикле животных. У него информация организована несколько сложнее, чем в приведенных таблицах, и не всегда верна. Поскольку во времена Аристотеля не пользовались описательной статистикой, он часто говорит, что нечто таково “по большей части”. В подобных случаях я привожу указанное им значение. Если Аристотель называет диапазон значений, я указываю среднее, а исключения игнорирую. Случаи, когда Аристотель оговаривает, что он не уверен в чем-либо (например, насчет огромной продолжительности жизни слона или короткого срока, отпущенного воробью), я отмечаю буквой с (сомнительно). Иногда Аристотель не говорит четко, что у представителей такого-то рода животных такой-то признак жизненного цикла имеет конкретное значение, а пишет про какой-либо высший род в целом – например, большинство птиц в тот же год ничего не производит. В этих случаях я отметил, что значение присуще всем родам в составе данного высшего рода, если не указано иное. Однако в случаях, когда Аристотель не говорит прямо, что значение применимо ко всему высшему роду, я ничего сверх данной им информации не указываю. Так, он наверняка знает, что большинство крупных “живородящих четвероногих” (млекопитающих) приносит один помет в год, но явно он этого не говорит. Исключение из этого правила – размер тела. Аристотель нигде не упоминает количественные данные по этому параметру, даже когда понятия “большой” и “малый” применяются к конкретному животному лишь для функционального объяснения. Тем не менее, из таких объяснений понятно, что для Аристотеля человек или страус большие, свинья или курица – средние, а кошка или воробей маленькие по сравнению со средним размером представителей своего высшего рода. Соответственно, я внес в таблицу предполагаемые значения размера тела некоторых животных. Большая доля данных взята из “Истории животных”, V и VI, а информация о совершенстве зародышей – из трактата “О возникновении животных”, IV. Аристотель верно отмечает, что многопалые животные (лиса, медведь, лев, собака, волк, шакал и т. д.) производят несовершенное потомство, а однокопытные и двукопытные животные (корова, лошадь) производят совершенное потомство. Свинья – исключение, она двукопытная, но потомство у нее лишь относительно совершенное. Если говорить о птицах, то Аристотель называет воронов, соек, воробьев, ласточек, вяхирей, горлиц и голубей дающими несовершенное потомство – но птиц с совершенным потомством он не упоминает. Он, вероятно, не приводит некоторые данные, на которые опирается.
Прочитали книгу? Предлагаем вам поделится своим впечатлением! Ваш отзыв будет полезен читателям, которые еще только собираются познакомиться с произведением.
Уважаемые читатели, слушатели и просто посетители нашей библиотеки! Просим Вас придерживаться определенных правил при комментировании литературных произведений.
Просьба отказаться от дискриминационных высказываний. Мы защищаем право наших читателей свободно выражать свою точку зрения. Вместе с тем мы не терпим агрессии. На сайте запрещено оставлять комментарий, который содержит унизительные высказывания или призывы к насилию по отношению к отдельным лицам или группам людей на основании их расы, этнического происхождения, вероисповедания, недееспособности, пола, возраста, статуса ветерана, касты или сексуальной ориентации. Просьба отказаться от оскорблений, угроз и запугиваний. Просьба отказаться от нецензурной лексики. Просьба вести себя максимально корректно как по отношению к авторам, так и по отношению к другим читателям и их комментариям.
Надеемся на Ваше понимание и благоразумие. С уважением, администратор My-Books.me.
Оставить комментарий
-
Александра15 январь 09:37
Очень интересная книга! Особенно, если любишь психологию и хочешь понимать себя и других. Обязательно послушаю до конца. Спасибо....
Кригер Борис – Гнев
-
Галина25 май 13:02
Очень уважаю Артема Шейнина, книга замечательная, очень мне близкая по духу.Перечитываю уже второй раз, столько пережитого и не...
Мне повезло вернуться - Артем Шейнин
-
Екатерина11 январь 08:05
Доброе утро. Подскажите пожалуйста как сохранять книги, ставить закладки?...
Подонок - Анастасия Леманн