Простая одержимость. Бернхард Риман и величайшая нерешенная проблема в математике - Джон Дербишир
Книгу Простая одержимость. Бернхард Риман и величайшая нерешенная проблема в математике - Джон Дербишир читаем онлайн бесплатно и без регистрации! Читать онлайн вы можете не только на компьютере, но и на андроид (Android), iPhone и iPad. Наслаждайтесь!
231 0 08:43, 26-05-2019Книга Простая одержимость. Бернхард Риман и величайшая нерешенная проблема в математике - Джон Дербишир читать онлайн бесплатно без регистрации
VIII.
И наконец, я не могу не упомянуть самый непрямой подход — подход в рамках недедуктивной логики. Строго говоря, это не математическая тема. Математика требует строгих логических доказательств для обоснования своих результатов. Однако большая часть мира устроена иначе. В обычной жизни мы действуем, исходя главным образом из вероятностей. В суде, на приеме у врача, при оформлении страховых полисов мы учитываем именно баланс вероятностей, а вовсе не исходим из железной определенности. Временами, конечно, для количественного выражения подобных вопросов мы пользуемся настоящей математической теорией вероятностей — именно по этой причине страховые компании берут на работу актуариев. Но гораздо чаще мы ее не используем, да и не можем использовать — представим себе хотя бы судебное разбирательство.
Математики порой бросали заинтересованный взгляд на эту сторону жизни. Джордж Пойа даже написал по этому поводу двухтомник[191], в котором он делает довольно неожиданное заявление, что недедуктивная логика больше ценится в математике, чем в естественных науках. Эту линию рассуждений совсем недавно продолжил австралийский математик Джеймс Фрэнклин. Его статья 1987 года «Недедуктивная логика и математика», опубликованная в British Journal for the Philosophy of Science, содержит раздел, озаглавленный «Свидетельства в пользу Гипотезы Римана и других гипотез».
Фрэнклин подходит к ГР так, как если бы она представляла собой дело, рассматривающееся в суде. Он приводит свидетельства в пользу справедливости Гипотезы Римана.
• Результат Харди 1914 года о том, что на критической прямой лежит бесконечно много нулей.
• Из ГР следует ТРПЧ, о которой известно, что она верна.
• «Вероятностная интерпретация Данжуа» — другими словами, рассмотренное выше рассуждение, основанное на подбрасывании монеты.
• Еще одна теорема 1914 года, которую доказали Ландау и Харальд Бор, согласно которой большинство нулей — все, кроме бесконечно малой доли, — очень близки к критической прямой. Стоит заметить, что коль скоро число нулей бесконечно, один триллион считается бесконечно малой долей.
• Алгебраические результаты Артина, А. Вейля и Делиня, упомянутые в главе 17.iii.
А теперь свидетельства со стороны обвинения.
• У самого Римана не было внятных причин для подкрепления своего утверждения в статье 1859 года о том, что ГР «очень правдоподобна», а полупричины, которые могли бы послужить мотивировкой его утверждения, с тех пор были опровергнуты.
• В 1970-х годах компьютерные расчеты показали, что на большой высоте вдоль критической прямой дзета-функция демонстрирует весьма своеобразное поведение (по-видимому, Фрэнклин не знает о работе Одлыжко).
• Результат Литлвуда 1914 года об остаточном члене Li(x) − π(x). Фрэнклин пишет: «Значимость открытия Литлвуда для Гипотезы Римана далеко не очевидна. Но оно в самом деле дает некоторые основания подозревать, что к Гипотезе Римана могут найтись очень крупные контрпримеры, хотя малые контрпримеры и отсутствуют». Насколько я понимаю, Фрэнклин рассуждает здесь по аналогии. «Для некоторых исключительно больших чисел остаточный член ведет себя плохо. Но он связан с нулями дзета-функции [см. главу 21 в этой книге]. Так что, вероятно, для очень больших T дзета-функция ведет себя плохо и имеет нули вне критической прямой».
Конечно, все это косвенные свидетельства. Однако их не следует сбрасывать со счетов просто как псевдофилософскую игру слов. Выводы, основанные на свидетельствах, могут способствовать получению весьма убедительных результатов, порой вопреки строго аргументированным математическим непреложностям. Рассмотрим, например, очень нематематическую ситуацию, когда гипотезу можно значительно ослабить с помощью подтверждающих ее свидетельств. Гипотеза: ни одно человеческое существо не может быть ростом выше девяти футов. Подтверждающее свидетельство: человек, рост которого 8 футов и 113/4 дюйма. Обнаружение такого индивида подтверждает гипотезу… и, однако, в то же время бросает на нее серьезную тень сомнения![192]
I.
В главе 19 мы определили ступенчатую функцию J, выразив ее через функцию π, которая подсчитывает для нас простые числа, а потом использовали мебиусово обращение, чтобы выразить π через J. Повернув затем Золотой Ключ, мы шаг за шагом прошли по тем вычислениям, с помощью которых Риман выразил дзета-функцию ζ через функцию J. А другое обращение, как я сказал, позволит выразить J через ζ. Сухой остаток всего этого таков.
• Функцию π, которая пересчитывает простые числа, можно выразить через другую ступенчатую функцию J.
• Функцию J оказывается возможным выразить через дзета-функцию Римана ζ.
Отсюда получается, что все свойства функции распределения простых чисел π некоторым образом закодированы в функции ζ. Достаточно тщательное исследование свойств функции ζ подскажет нам все, что мы хотим узнать про функцию π, другими словами, про распределение простых чисел.
Как же все это на самом деле работает? Какова программа действий? Где в ней найдется место тем самым нетривиальным нулям? И как выглядит этот «посредник» — функция J — когда он переписан через функцию ζ? Ответ на последний вопрос я замял в конце главы 19.
II.
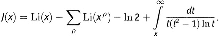
Я замял ответ на этот вопрос по вполне уважительной причине, которая сейчас станет ясной. Выражение (21.1) содержит результат этого второго обращения, окончательное и точное выражение функции J(x) через дзета-функцию:

Вот с чем предстоит иметь дело. Если вы не математик, то перед вами — страшный монстрик (и где, кстати, в нем сидит дзета-функция?). Я собираюсь разобрать эту штуку на кусочки, один за другим, и показать, что творится у нее внутри. Но прежде всего сообщу, что это равенство и составляет основной результат статьи Римана 1859 года. Если вы сможете его одолеть, то поймете суть того, что сделал Риман в этой области, и получите ясное представление обо всем, что было после.
Прочитали книгу? Предлагаем вам поделится своим впечатлением! Ваш отзыв будет полезен читателям, которые еще только собираются познакомиться с произведением.
Уважаемые читатели, слушатели и просто посетители нашей библиотеки! Просим Вас придерживаться определенных правил при комментировании литературных произведений.
Просьба отказаться от дискриминационных высказываний. Мы защищаем право наших читателей свободно выражать свою точку зрения. Вместе с тем мы не терпим агрессии. На сайте запрещено оставлять комментарий, который содержит унизительные высказывания или призывы к насилию по отношению к отдельным лицам или группам людей на основании их расы, этнического происхождения, вероисповедания, недееспособности, пола, возраста, статуса ветерана, касты или сексуальной ориентации. Просьба отказаться от оскорблений, угроз и запугиваний. Просьба отказаться от нецензурной лексики. Просьба вести себя максимально корректно как по отношению к авторам, так и по отношению к другим читателям и их комментариям.
Надеемся на Ваше понимание и благоразумие. С уважением, администратор My-Books.me.
Оставить комментарий
-
Александра15 январь 09:37
Очень интересная книга! Особенно, если любишь психологию и хочешь понимать себя и других. Обязательно послушаю до конца. Спасибо....
Кригер Борис – Гнев
-
Галина25 май 13:02
Очень уважаю Артема Шейнина, книга замечательная, очень мне близкая по духу.Перечитываю уже второй раз, столько пережитого и не...
Мне повезло вернуться - Артем Шейнин
-
Екатерина11 январь 08:05
Доброе утро. Подскажите пожалуйста как сохранять книги, ставить закладки?...
Подонок - Анастасия Леманн