Гейзенберг. Принцип неопределенности - Жозе Наварро Фаус
Книгу Гейзенберг. Принцип неопределенности - Жозе Наварро Фаус читаем онлайн бесплатно и без регистрации! Читать онлайн вы можете не только на компьютере, но и на андроид (Android), iPhone и iPad. Наслаждайтесь!
169 0 09:59, 26-05-2019Книга Гейзенберг. Принцип неопределенности - Жозе Наварро Фаус читать онлайн бесплатно без регистрации
Физики начали понимать всю сложность спектров, однако им по-прежнему приходилось использовать ничем не обоснованные предпосылки. Ученые не понимали, почему электрон не испускал излучение, находясь на стационарной орбите, и ограничивались объяснением событий, происходивших во время перехода с одной орбиты на другую, – квантовых скачков. Без ответа оставалось множество вопросов, например: что происходило в атомах, имевших много электронов? Все электроны или их часть могли располагаться на одной круговой орбите, на концентрических орбитах или, возможно, их орбиты пересекались. Благодаря своей интуиции Бор смог получить первое представление о периодической системе элементов. Вся эта совокупность более или менее обоснованных предположений стала называться «старой квантовой теорией», в отличие от возникшей «новой». Упомянем еще несколько задач, рассмотренных в старой квантовой теории.
С появлением новых дифракционных решеток стало возможным измерять спектры со все большей точностью. Это можно сравнить с подбором очков: когда человек с плохим зрением идет к окулисту, то вначале видит лишь расплывчатые фигуры, а затем, примеряя линзы, постепенно начинает различать очертания букв. Аналогично, с ростом точности наблюдений атомные спектры демонстрировали все более сложную структуру. На рубеже 1920-х годов ученые смогли увидеть, что некоторые линии спектров атомов щелочных металлов, в частности натрия и калия, были двойными, а линии спектров щелочноземельных металлов, к примеру магния и кальция, – даже тройными. Испанский ученый Мигель Каталан, исследовав спектры магния и хрома, показал, что существуют кратные линии спектров, состоящие из четырех, шести и даже восьми линий. Кроме того, было известно, что в электростатическом или магнитном поле линии спектра также удваивались. Таким образом, в действительности модель Бора описывала атомный спектр водорода весьма приближенно. Однако это был первый важный шаг в правильном направлении.
Модели Бора, Зоммерфельда и тонкая структура
Представим некоторые формулы, описывающие атом водорода. Энергия стационарного состояния в модели Бора определяется выражением

где n – главное квантовое число, R – постоянная Ридберга. Бор получил выражение

где m – масса электрона, е – его электрический заряд, h – редуцированная постоянная Планка.
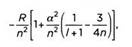
В расширенной модели Зоммерфельда использовалось второе квантовое число, которое мы обозначили буквой l, принимающее значения от 1 до n. С помощью релятивистских поправок Зоммерфельд определил, что энергия стационарного состояния определяется как

где α – постоянная тонкой структуры. Большее значение поправки, соответствующее квантовым числам n = 1 и l = 0, равняется 1 + α²/4 и равно 1,000013…, то есть примерно одной стотысячной.
Эффект Зеемана и модель каркаса атома
Спустя несколько недель после того, как Зоммерфельд допустил Гейзенберга на свои семинары, он предложил новому студенту задачу, которую не мог решить сам. В 1895 году голландский физик Питер Зееман (1865-1943) обнаружил, что в присутствии магнитного поля некоторые спектральные линии утраиваются. Появление дополнительных линий не зависело от анализируемого вещества и определялось магнитным полем. Этот эффект можно было объяснить с помощью законов классической физики, однако ученых интересовала его интерпретация в рамках обобщенной модели атома, предложенной Зоммерфельдом. Электрон, движущийся по замкнутой орбите, эквивалентен электрическому току в катушке, который, в свою очередь, порождает магнитное поле. Это магнитное поле взаимодействует с внешним магнитным полем, при этом энергия их взаимодействия зависит от угла между ними. Зоммерфельд предположил, что этот угол также описывается квантовыми законами и может принимать только дискретные значения, определяемые неким квантовым числом. Это число Зоммерфельд назвал магнитным числом и обозначил его буквой m. Таким образом, в магнитном поле энергия стационарного состояния зависела от трех квантовых чисел: n, l, m. Далее Зоммерфельд попытался рассчитать частоты перехода на основе разности энергий и сравнить их с наблюдаемыми линиями спектра.
Его метод был корректным, однако переставал работать, когда наблюдались другие удвоенные линии, положение которых определялось не только магнитным полем, но и исходным спектром. Это явление получило название аномального эффекта Зеемана. Его объяснение Зоммерфельд и поручил Гейзенбергу. В случае классического эффекта Зеемана достаточно было описать каждое стационарное состояние с помощью трех квантовых чисел (n,l, m), рассмотрев геометрию орбит электронов. Зоммерфельд перешел к рассмотрению четвертого квантового числа, которое назвал внутренним, и попытался представить спектральные термы в виде частного целых чисел так, чтобы их разность соответствовала результатам наблюдений. После нескольких безуспешных попыток он передал задачу Гейзенбергу, который начал обучение всего несколько недель назад. Для решения проблемы юноше требовалось изучить совершенно новую в то время квантовую теорию, а также основы физики.
Катушки с током в магнитном поле

Катушка, по которой течет электрический ток, ведет себя как магнитный диполь, то есть аналогично стрелке компаса. На рисунке изображена прямоугольная катушка (впрочем, ее форма не имеет значения). Введем вектор →A, перпендикулярный плоскости катушки, длина которого будет равна площади катушки. Если через катушку течет ток силой l, дипольный момент катушки определяется как вектор →μ=l→A. Энергия взаимодействия с магнитным полем B равна скалярному произведению – →μ• →B, то есть μBcosα, где α – угол между векторами →μ и →B. Теперь рассмотрим электрон, который движется по круговой орбите радиуса r со скоростью T=2πr/v. Момент импульса электрона на орбите будет задаваться вектором →l = m→v•→r, перпендикулярным плоскости орбиты. Движение заряженного электрона по орбите будет эквивалентно электрическому току l=-е/Т в круговой катушке радиуса r. Магнитный момент будет обозначаться вектором, перпендикулярным плоскости катушки. Чтобы вычислить модуль этого вектора, нужно умножить силу тока l на площадь катушки πr² . Результат будет пропорционален моменту импульса электрона и может быть записан так:
Прочитали книгу? Предлагаем вам поделится своим впечатлением! Ваш отзыв будет полезен читателям, которые еще только собираются познакомиться с произведением.
Уважаемые читатели, слушатели и просто посетители нашей библиотеки! Просим Вас придерживаться определенных правил при комментировании литературных произведений.
Просьба отказаться от дискриминационных высказываний. Мы защищаем право наших читателей свободно выражать свою точку зрения. Вместе с тем мы не терпим агрессии. На сайте запрещено оставлять комментарий, который содержит унизительные высказывания или призывы к насилию по отношению к отдельным лицам или группам людей на основании их расы, этнического происхождения, вероисповедания, недееспособности, пола, возраста, статуса ветерана, касты или сексуальной ориентации. Просьба отказаться от оскорблений, угроз и запугиваний. Просьба отказаться от нецензурной лексики. Просьба вести себя максимально корректно как по отношению к авторам, так и по отношению к другим читателям и их комментариям.
Надеемся на Ваше понимание и благоразумие. С уважением, администратор My-Books.me.
Оставить комментарий
-
Александра15 январь 09:37
Очень интересная книга! Особенно, если любишь психологию и хочешь понимать себя и других. Обязательно послушаю до конца. Спасибо....
Кригер Борис – Гнев
-
Галина25 май 13:02
Очень уважаю Артема Шейнина, книга замечательная, очень мне близкая по духу.Перечитываю уже второй раз, столько пережитого и не...
Мне повезло вернуться - Артем Шейнин
-
Екатерина11 январь 08:05
Доброе утро. Подскажите пожалуйста как сохранять книги, ставить закладки?...
Подонок - Анастасия Леманн